728x90
https://www.inflearn.com/course/%EC%8A%A4%ED%94%84%EB%A7%81-mvc-1
스프링 MVC 1편 - 백엔드 웹 개발 핵심 기술 - 인프런 | 강의
웹 애플리케이션을 개발할 때 필요한 모든 웹 기술을 기초부터 이해하고, 완성할 수 있습니다. 스프링 MVC의 핵심 원리와 구조를 이해하고, 더 깊이있는 백엔드 개발자로 성장할 수 있습니다., 원
www.inflearn.com












































728x90
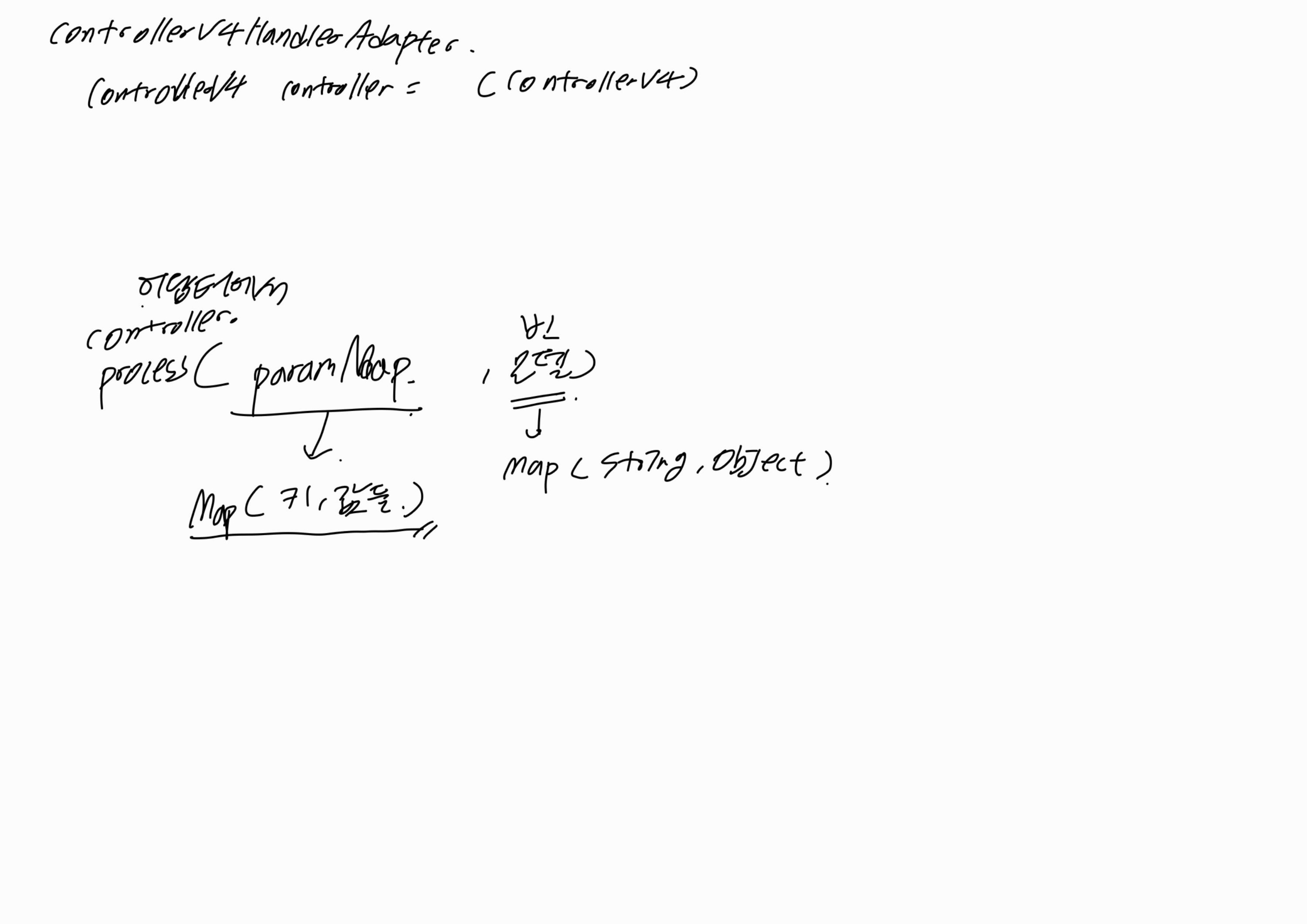
'스프링' 카테고리의 다른 글
| 트랜잭션 개념과 트랜잭션 격리수준, 그리고 스프링 트랜잭션 (김영한-스프링 DB 1편) (1) | 2024.02.04 |
|---|---|
| 코드 리팩토링과 ExceptionHandler를 이용한 전역예외처리 (bindingresult도 잡기!) (1) | 2024.01.25 |
| 에러핸들링, 예외처리 어떻게 할까? (1) | 2023.12.21 |
| 강의) 스프링 핵심 원리 - 기본편 (0) | 2023.12.05 |
| 책) 스프링 입문을 위한 자바 객체지향원리와 원리 (0) | 2023.12.05 |